- Article
Do Families Raising Children with Autism Save for Children’s Future? An Exploratory Study from China
- Ling Zhou,
- Jin Huang and
- Yingying Zhang
- + 3 authors
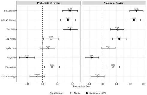
Families raising children with autism face financial planning challenges, particularly in countries with limited social support. Using data from 497 Chinese families, this study examined saving behavior for children with autism. Results showed that only 46% of families had saved for their children’s future, with an average of 104,000 RMB. Key predictors of saving probability included debt (β = −0.02, p < 0.05), financial skills (β = 0.10, p < 0.01), financial attitude (β = 0.09, p < 0.05), and subjective financial well-being (β = 0.09, p < 0.05). Factors associated with savings amount were assets (β = 0.12, p < 0.05), debt (β = −0.07, p < 0.05), financial attitude (β = 0.57, p < 0.001), and subjective financial well-being (β = 0.56, p < 0.001). Findings highlight the need for financial capability interventions and policy support to help families manage debt, build assets, and improve long-term financial planning.
12 December 2025




